Benvenuto Ospite

Forum Entomologi Italiani

www.entomologiitaliani.net/forum
 
Oggi è 27/02/2026, 21:54

Tutti gli orari sono UTC + 1 ora [ ora legale ]

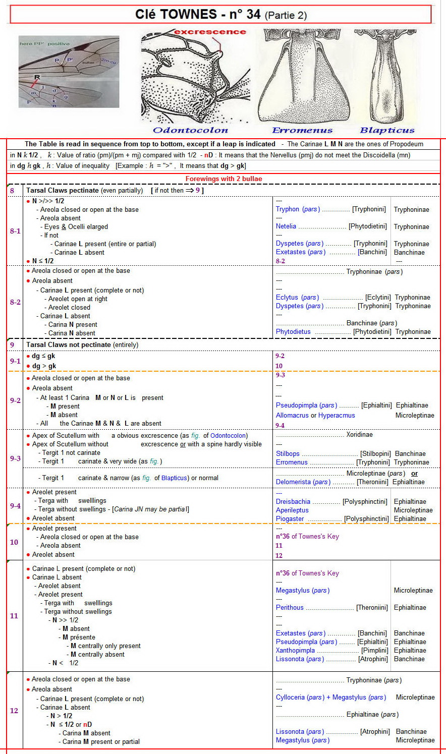
34-part 2 - Adaptation for the ♂ & ♀ (of France and Italy) of the subFamilies's Key contained in "The Genera of Ichneumonidae" of H. Townes (1969 - p.53/59) - [Version 2] - Ichneumonidae

 


nuovo argomento
rispondi
Pagina 1 di 1 [ 1 messaggio ]
Autore Messaggio
MessaggioInviato: 12/06/2025, 11:35 
Avatar utente

Iscritto il: 22/11/2010, 18:16
Messaggi: 1130
Località: Donzy (Bourgogne : Dipart. Nièvre) - Francia
Nome: Jean-Pierre Balmer
Version 2 : The Table is more detailed
=====================================
n° 34 (partie 1), see viewtopic.php?f=104&t=53046&p=301135#p301135
-----------------------------------------
All the subFamilies and Genera are sensu Townes or Van Rossem
( Gelinae = Cryptinae - Ephialtinae = Pimplinae)
---
Drawings from Townes
====================================================================
Pimplinae ♀ , go to viewtopic.php?f=104&t=91666&hilit=+pimplinae
Pimplinae ♂, we did not make the Key
Tryphoninae, go to viewtopic.php?f=104&t=54273&hilit=+Tryphoninae
Xoridinae, go to viewtopic.php?f=11&t=107183&hilit=+Xoridinae
Microleptinae, go to viewtopic.php?f=104&t=58545&hilit=+Microleptinae
Ephialtinae♀ , go to viewtopic.php?f=104&t=91666&hilit=+pimplinae
====================================================================
keywords :
Hymenoptera Ichneumonoidea Ichneumonidae Alomya Gelinae Cryptinae Banchinae Glyptini Apophua Odinophora Alloplasta Exetastes Rhynchobanchus Banchus Lissonotini Arenetra Teleutaea Lissonota Cryptopimpla Stilbops Ephialtinae Pimplinae Poemeniini Poemenia Piogaster Tryphoninae Monoblastus Boethus Euceros Tryphon Netelia Eclytus Phytodietus Erromenus Microleptinae Oxytorus Megastylus Hemiphanes Allomacrus Hyperacmus Blapticus Aperileptus Cylloceria Xoridinae Odontocolon[/size]


-- TOWNES - Clé 34 - M - Clé (Partie 2) - Image bis.jpg

Top
profilo
Visualizza ultimi messaggi:  Ordina per  
nuovo argomento
rispondi
Pagina 1 di 1 [ 1 messaggio ]

Tutti gli orari sono UTC + 1 ora [ ora legale ]


Chi c’è in linea

Visitano il forum: Nessuno e 1 ospite


Non puoi aprire nuovi argomenti
Non puoi rispondere negli argomenti
Non puoi modificare i tuoi messaggi
Non puoi cancellare i tuoi messaggi
Non puoi inviare allegati

Cerca per:
Vai a: